PC1201 A car starts from 0 x 10 m at 0t  0 s and moves with the velocity graph shown in the figure below: Fundamental of Physics Assignment, Singapore, Singapore

Subject PC1201: Fundamental of Physics

1. A car starts from 0 x 10 m at 0t  0 s and moves with the velocity graph shown in the figure below.

PC1201 A car starts from 0 x 10 m at 0t  0 s and moves with the velocity graph shown in the figure below: Fundamental of Physics Assignment, Singapore

(i) What is the car’s position at t = 2 s, 3 s, and 4 s?
(ii) Does this car ever change direction? If so, at what time?

2. Squid use jet propulsion for rapid escapes. A squid pulls the water into its body and then rapidly ejects the water backward to propel itself forward. By ejecting 0.15 kg of water, a 1.5 kg squid (not including water mass) can accelerate at 20 m/s2(i) What is the magnitude of the thrust force on the squid?
(ii) What is the magnitude of the thrust force on the ejected water?
(iii) What acceleration is experienced by the ejected water?

Buy Custom Answer of This Assessment & Raise Your Grades

3. Assuming no wind and we treat the air resistance to be negligible, the flight time of the symmetrical trajectory in the following figure is t

PC1201 A car starts from 0 x 10 m at 0t  0 s and moves with the velocity graph shown in the figure below: Fundamental of Physics Assignment, Singapore

Later, if a horizontal wind parallel to the ground is blowing, from right to left as in this figure, directly toward the player who kicks the ball, how would you expect the flight time of the ball to be affected if the ball does not spin while it is on the trajectory, if at all? Explain.

4. A block of mass m is released onto a vertical spring with spring constant k, where the lower end of the spring is fixed on a table. As the block falls, it will compress the spring until it momentarily comes to rest. Calculate the amount of compression in the spring if the block is released from a height h above the higher end of the spring as shown in the following figure. For the purposes of this calculation, we can treat the block as a point mass, and we will assume that the mass of the spring is negligible.

PC1201 A car starts from 0 x 10 m at 0t  0 s and moves with the velocity graph shown in the figure below: Fundamental of Physics Assignment, Singapore

5. An escalator is 60 m long and lifts passengers through a vertical height of 30 m as shown in the figure. To drive the escalator against the forces of friction when there are no passengers requires a power of 2.0 kW. The escalator is used by passengers each of an average mass of 60 kg, and the power to overcome friction remains constant. How much power is required to drive the escalator when it is carrying 20 passengers and is travelling at 0.75 m/s along the slope?

PC1201 A car starts from 0 x 10 m at 0t  0 s and moves with the velocity graph shown in the figure below: Fundamental of Physics Assignment, Singapore

6. A spring with a spring constant of 2600 N/m is compressed 0.10 m from its unstretched position. The spring is released, propelling a 3.0-kg block along a horizontal, frictionless surface. This block then collides with a stationary 1.0-kg block. The blocks remain joined and move together as shown in the following figure.

PC1201 A car starts from 0 x 10 m at 0t  0 s and moves with the velocity graph shown in the figure below: Fundamental of Physics Assignment, Singapore

(i) Determine the total amount of elastic potential energy stored in the spring when the spring is compressed 0.10 m.

(ii) Assuming all of the spring’s energy is transferred to the 3.0-kg block, calculate the speed v1 of the 3.0-kg block immediately after it has left the spring.
(iii) Calculate the speed v2 of the two blocks after the collision. (iv) Qualitatively, explain why the collision is inelastic.

7. The ultrasonic transducer used in a medical ultrasound imaging device is a very thin disk (m = 0.10 g) driven back and forth in SHM at 1.0 MHz by an electromagnetic coil.
(i) The maximum restoring force that can be applied to the disk without breaking it is 40,000 N. What is the maximum oscillation amplitude that won’t rupture the disk?
(ii) What is the disk’s maximum speed at this amplitude?

8. A 4.00-kg block carrying a charge Q = 50.0 μC is connected to a spring for which the spring constant k = 100 N/m. The block lies on a frictionless horizontal track, and the system is immersed in a uniform electric field of magnitude E = 5.00 × 105 V/m directed as in the following figure.

PC1201 A car starts from 0 x 10 m at 0t  0 s and moves with the velocity graph shown in the figure below: Fundamental of Physics Assignment, Singapore

(i) If the block is released at rest when the spring is unstretched (at x = 0), by what maximum amount does the spring expand?
(ii) What is the equilibrium position of the block where the acceleration on the block is 0?
(iii) Explain why the block is, or is not, in simple harmonic motion.

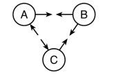
9. The diagram below shows the arrangement of three charged hollow metal spheres, A, B, and C. The arrows indicate the direction of the electric forces acting between the spheres.
PC1201 A car starts from 0 x 10 m at 0t  0 s and moves with the velocity graph shown in the figure below: Fundamental of Physics Assignment, Singapore

(i) Which spheres have static charges of the same sign?
(ii) Explain the principles used to determine the answer in (i).

Hire a Professional Essay & Assignment Writer for completing your Academic Assessments

Native Singapore Writers Team

  • 100% Plagiarism-Free Essay
  • Highest Satisfaction Rate
  • Free Revision
  • On-Time Delivery

10. One particle has a mass of 3.00 × 10-3 kg and a charge of +8.00 μC. A second particle has a mass of 6.00 × 10-3 kg and the same charge. The two particles are initially held in place and then released. The particles fly apart, and when the separation between them is 0.100 m, the speed of the 3.00 × 10-3 kg particle is 125 m/s. Find the distance of the initial separation between the particles. (Hint: The momentum is conserved.) 11. Determine the equivalent resistance between the points A and B for the group of resistors in the following drawing.

PC1201 A car starts from 0 x 10 m at 0t  0 s and moves with the velocity graph shown in the figure below: Fundamental of Physics Assignment, Singapore

12. Protons are projected with an initial speed v0 = 9550 m/s into a region where a uniform electric field E = 720 N/C is present as shown in the following figure. The protons are to hit a target that lies a horizontal distance of 1.27 mm from the point where the protons are launched. Find (i) the two possible projection angles θ that will result in a hit and (ii) the total time duration of flight for each of the two trajectories. (The mass of a proton is 27 1.6726 10 kg.   The charge of a proton is 19 1.602 10 C.   The weight of the protons can be excluded in your formulation.)
PC1201 A car starts from 0 x 10 m at 0t  0 s and moves with the velocity graph shown in the figure below: Fundamental of Physics Assignment, Singapore

13. Two positively charged spheres are shown in the following figure. Sphere 1 has twice as much charge as sphere 2. Find an expression for the electrostatic field at point A in terms of the parameters shown in the figure.

PC1201 A car starts from 0 x 10 m at 0t  0 s and moves with the velocity graph shown in the figure below: Fundamental of Physics Assignment, Singapore

14. A 0.10 g honeybee acquires a charge of +23 pC while flying. If the magnitude of the electric field in air exceeds roughly 3 × 10-6 N/C , the air breaks down and a spark forms.   -12 1 pC 1 10 C  
(i) The electric field near the surface of the earth is typically 100 N/C, directed downward. What is the ratio of the electric force on the bee to the bee’s weight?
(ii) What is the required electric field strength and direction would allow the bee to hang suspended in the air?
(iii) Do you think that the honeybee is able to hang in the air due to the acquired charge?

Stuck with a lot of homework assignments and feeling stressed ? Take professional academic assistance & Get 100% Plagiarism free papers

Get Help By Expert

Seeking support for individual assignments such as the PC1201 "Fundamentals of Physics" in Singapore? Look no further than our expert services in Assignment Help SG! Specifically catering to Math Assignment Help in Singapore, our experts assist students in tackling the complexities of physics, especially interpreting scenarios like the velocity graph provided in PC1201 assignments. We understand the challenges students face in grasping fundamental concepts. With our expert guidance, Singaporean students can excel in their physics assignments, ensuring a clear understanding of topics and securing top grades. Elevate your understanding and performance in physics—pay our experts for the guidance you need to succeed in your course!

Answer

Looking for Plagiarism free Answers for your college/ university Assignments.

Ask Your Homework Today!

We have over 1000 academic writers ready and waiting to help you achieve academic success